Kuis
soal utakatikotak

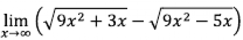
Tentukan nilai

utakatikotak
7
A
4/3
B
4/5
C
?1/4
D
4/4