Kuis
soal utakatikotak

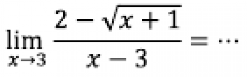
Tentukan Nilainya ?

utakatikotak
4
A
?1/4
B
?1/2
C
?1/9
D
?1/3