Pernahkan anda melihat acara televisi masak-memasak dan melihat pembawa acaranya membungkus daging dengan daun pepaya untuk membuatnya lunak? Dalam hati mungkin anda akan bertanya-tanya, benarkah daging tersebut akan menjadi lunak? Mungkin ada yang percaya dan ada pula yang masih ragu dengan kebenarannya. Namun kenyataannya daun pepaya memang dapat digunakan untuk melunakkan daging yang akan dimasak. Sebenarnya yang bekerja melunakkan daging bukanlah si daun pepaya, namun getah yang terdapat di dalamnya. Biasanya daun pepaya akan sedikit diremas-remas agar getahnya keluar sebelum digunakan untuk membungkus daging. Tidak hanya getah pada daun, getah pada batang dan buah muda-pun dapat digunakan untuk melunakkan daging. Namun untuk penggunaan rumah tangga, menggunakan daun pepaya akan lebih sederhana dan tidak ribet.
 |
| Membungkus daging dengan daun pepaya membuat daging lunak |
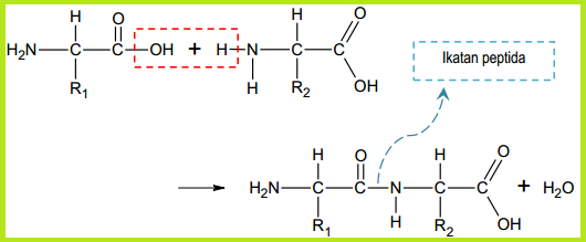
Kandungan dalam getah pepaya yang bekerja membuat daging lunak adalah enzim papain, sejenis enzim protease atau enzim pencerna protein. Enzim tersebut akan memecah molekul protein dalam daging menjadi berukuran lebih kecil sehingga akan terasa lebih lunak ketika dimakan. Kerja enzim papain hampir sama dengan kerja enzim pepsin dan tripsin yang ada dalam saluran pencernaan manusia. Enzim-enzim tersebut akan memecah protein menjadi lebih kecil sehingga dapat diserap oleh usus. Enzim papain pada getah pepaya inilah yang membuat mulut terasa gatal apabila makan buah pepaya yang belum begitu masak. Rasa gatal tersebut disebabkan oleh enzim papain yang mencerna jaringan protein mulut sehingga terjadi iritasi ringan yang membuat sensasi gatal. Ketika tangan kita menyentuh getah pepaya dalam waktu cukup lama dan tidak cuci tangan juga akan terasa gatal karena pengaruh kerja papain tersebut. Enzim papain bekerja dengan memecah ikatan peptida yang ada pada protein. Ikatan peptida merupakan ikatan antar molekul asam amino yang membentuk protein. Dalam tubuh hewan, dikenal 20 jenis asam amino yang membentuk protein. Asam amino tersebut akan saling sambung-menyambung dengan ikatan peptida untuk membentuk protein sebagai pembangun tubuh. Protein dalam tubuh hewan merupakan pembentuk daging hewan.
 |
| Ikatan peptida menyatukan molekul-molekul asam amino |
Kembali ke persoalan masak-memasak di awal tadi, bagaimana cara mudah untuk melunakkan daging dengan daun pepaya? Begini salah satu langkahnya.
- Pertama ambillah selembar daun pepaya dan remas-remaslah dengan lembut agar getahnya sedikit keluar.
- Gunakan daun tersebut untuk membungkus daging yang akan dilunakkan
- Biarkan selama beberapa jam agar enzim papain dapat bekerja dengan baik
- Semakin lama dibungkus, daging akan semakin lunak
- Hati-hati kebanyakan getah pepaya yang keluar dapat membuat rasa daging agak berubah karena getah pepaya berasa pahit,
Semua daun pepaya dapat digunakan untuk proses di atas. Namun akan lebih baik apabila memlih daun yang telah tua karena daun tua biasanya mengandung lebih banyak getah. Tanaman pepaya mudah tumbuh dimana saja, baik dataran rendah maupun dataran tinggi, jadi tidaklah sulit menemukan daun pepaya untuk memasak daging.
 |
| Pepaya gunung berbuah lebih kecil |
Saat ini telah banyak dilakukan peyadapan terhadap getah pepaya sebagai pelunak daging. Getah tersebut akan dikumpulkan, diproses di pabrik, dikemas dengan menarik, dan dicampurkan pada daging untuk membuatnya lunak. Jenis pepaya yang banyak disadap getahnya adalah pepaya gunung (Vasconcellea pubescens) yang hidup dengan baik di dataran tinggi bersuhu dingin. Bagian yang disadap adalah buah yang belum matang. Petani biasanya akan membuat goresan pada buah tersebut sehingga muncul luka yang menyebabkan getahnya keluar dan menetes. Tetes demi tetes akan dikumpulkan dan dijual kepada pabrik yang khusus membuat bahan pelunak daging dari getah tersebut.