Home » Kongkow » Materi » Hukum Kepler I, II, III dan Fungsinya Dalam Sistem Tata Surya

Hukum Kepler I, II, III dan Fungsinya Dalam Sistem Tata Surya

- Jumat, 10 September 2021 | 16:00 WIB
Hukum Kepler I, II, III dan Fungsinya Dalam Sistem Tata Surya

PENGERTIAN HUKUM KEPLER

Hukum Kepler ditemukan oleh seorang matematikawan yang juga merupakan seorang astronom Jerman yang bernama Johannes Kepler(1571-1630). Penemuannya didasari oleh data yang diamati oleh Tycho Brahe(1546-1601), seorang astronom terkenal dari Denmark.  

Sebelum ditemukannya hukum ini, manusia zaman dulu menganut paham geosentris, yaitu  sebuah paham yang membenarkan bahwa bumi merupakan pusat alam semesta. Anggapan ini didasari pada pengalaman indrawi manusia yang terbatas, yang setiap hari mengamati matahari, bulan dan bintang bergerak, sedangkan bumu dirasakan diam. Anggapan ini dikembangkan oleh astronom Yunani Claudius Ptolemeus (100-170 M) dan bertahan hingga 1400 tahun. Menurutnya, bumi berada di pusat tata surya. Matahari dan planet-planet mengelilingi bumi dalam lintasan melingkar.

Kemudian pada tahun 1543, seorang astronom Polandia bernama Nicolaus Copernicus (1473-1543) mencetuskan model heliosentris. Heliosentris artinya bumi beserta planet-planet lainnya mengelilingi matahari dalam lintasan yang melingkar. Tentu saja pendapat ini lebih baik dibanding pendapat sebelumnya. Namun, ada yang masih kurang dari pendapat Copernicus yaitu diam masih menggunakan lingkaran sebagai bentuk lintasan gerak planet.

MODEL GEOSENTRIS DAN HELIOSENTRIS

Pada tahun 1596 Kepler menerbitkan buku pertamanya di bidang astronomi dengan judul The Mysteri of the Universe.Di dalam buku itu ia memaparkan kekurangan dari kedua model diatas yaitu tiada keselarasan antara lintasan- lintasan orbit planet dengan data pengamatan Tycho Brahe. Oleh karenanya Kepler meninggalkan model Copernicus juga Ptolemeus lalu mencari model baru. Pada tahun 1609, barulah ditemukan bentuk orbit yang cocok dengan data pengamatan Brahe, yaitu bentuk elips. Kemudian penemuannya tersebut dipublikasikan dalam bukunya yang berjudul Astronomia Nova yang juga disertai hukum keduanya. Sedangkan hukum ketiga Kepler tertulis dalam Harmonices Mundi yang dipublikasikan sepuluh tahun kemudian.

B. HUKUM I, II, dan III KEPLER

1. Hukum I Kepler

Hukum I Kepler menjelaskan tentang bagaimana bentuk lintasan orbit planet-planet. Bunyi dari hukum ini yaitu :

Lintasan setiap planet ketika mengelilingi matahari, berbentuk elips, di mana matahari terletak pada salah satu fokusnya.            

GEOMETRI ORBIT PLANET ELIPS

Dari model diatas diperlihatkan bentuk elips dari lintasan orbit planet yang mengelilingi matahari. Dimana matahari berada disalah satu titik fokusnya yang ditandai dengan F1 dan F2. Sedangkan planet bearada pada jarak r2 dari F2 atau r1 dari F1. Jika posisi planet berubah maka jarak r1 dan r2 ikut berubah. Jarak a disebut sumbu semimayor dan 2a disebut mayor. Jarak b disebut sumbu semiminor dan 2b disebut minor. Jarak c dari titik pusat merupakan titik fokus, dimana c2 = a2+b2.

Bentuk elips orbit ditentukan oleh eksentrisitas (e) elips tersebut. Semakin kecil eksentrisitasnya, maka bentuk elipsnya akan semakin mendekati bentuk lingkaran. Dan sebaliknya, bila eksentrisitasnya semakin besar, bentuk elips akan memanjang dan tipis. Jarak merupakan perbandingan dari jarak c dengan jarak a (e = c/a). Nilai eksentrisitas elips lebih besar dari 0 dan lebih kecil dari 1.

Ketika planet berada pada jarak terjauh dari matahari, maka pada saat itu planet

berada pada titik aphelion. Letaknya pada gambar yaitu pada ujung kiri elips (sebelah kiri F1). Jarak dari aphelion ke matahai dapat dihitung dengan menjumlahkan jarak a dengan c. Jika planet berada pada ujung kanan elips (sebelah kanan F2) maka planet sedang berada pada titik perihelion. Pada saat itu planet berada pada jarak terdekat dengan matahari. Jarak perihelion dengan matahri merupakan selisih antara jarak a dengan c.

2. Hukum II Kepler

Hukum kedua Kepler menjelaskan tentang kecepatan orbit suatu planet. Bunyi dari hukum keduanya yaitu :

Setiap planet bergerak sedemikian sehingga suatu garis khayal yang ditarik dari matahari ke planet tersebut mencakup daerah dengan luas yang sama dalam waktu yang sama.

LUASAN APHELION (ABC) DAN LUASAN PERIHELION (ADE)

 

Pada gambar diatas dperlihatkan dua contoh luasan untuk menjelaskan hukum II Kepler. Kedua luasan ini mempunyai luas yang sama. Pada selang waktu yang sama, garis khayal yang menghubungkan planet dan matahari menyapu luasan yang memiliki besar yang sama. Oleh karena itu, ketika planet bergerak dari b ke c (titik aphelion), kecepatan orbit planet lebih kecil atau lambat. Sedangkan ketika planet bergerak dari d ke e (titik perihelion) kecepatan orbit planet lebih besar atau cepat. Maka kesimpulannya keceptan orbit maksimum planet yaitu ketika planet berada di titik perihelion dan kecepatan minimumnya ketika berada di titik aphelion.

3. Hukum III Kepler

Pada hukum ini Kepler menjelaskan tentang periode revolusi setiap planet yang melilingi matahari. Hukum Kepler III berbunyi :

Kuadrat perioda suatu planet sebanding dengan pangkat tiga jarak rata-ratanya dari Matahari.

Secara matematis Hukum Kepler dapat ditulis sebagai berikut :

Keterangan :

T1= Periode planet pertama

T2= Periode planet kedua

r1 = jarak planet pertama dengan matahari

r2 = jarak planet kedua dengan matahari

Persamaan ini dapat diturunkan dengan menggabungkan 2 persamaan hukum Newton , yaitu hukum gravitasi Newton dan hukum II Newton untuk gerak melingkar beraturan. Penurunan rumusnya yaitu sebagai berikut :

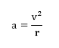
Persamaan hukum Newton II :

Karena

Maka  

Keterangan :

m = massa planet yang mengelilingi matahri

a = percepatan sentripetal planet

v = kecepatan rata-rata planet

r = jarak rata-rata planet dari matahari

Persamaan hukum gravitasi Newton :

Fg = Gaya gravitasi matahari

m1 = massa matahari

m2 = massa planet

r  = jarak rata-rata planet dan matahari

Digabungkan kedua rumus diatas sehingga menjadi :

m2 pada ruas kiri dan m pada ruas kanan merupakan sama-sama massa planet sehingga dapat dihilangkan.

 

Panjang lintasan yang dilalu planet merupakan keliling lintasan orbit planet. Keliling orbit planet dapat dirumuskan dengan 2 x phi x r, dimana r adalah jarak rata-rata planet dari matahari. Diketahui bahwa kecepatan rata-rata planet merupakan perbandingan antara keliling orbit dan periode panet, sehingga :

Konstanta k = T2/r3 juga yang diperoleh oleh Kepler ditemukan dengan cara perhitungan menggunakan data astronomi Tycho Brahe. Hasilnya juga sama dengan yang diperoleh menggunakan rumus kedua Hukum Newton diatas.

C. FUNGSI HUKUM KEPLER

Fungsi hukum Kepler di kehidupan modern yaitu digunakan untuk memperkirakan lintasan planet-planet atau benda luar angkasa  lainnya yang mengorbit Matahari seperti asteroid atau planet luar yang belum ditemukan semasa Kepler hidup. Hukum ini juga digunakan pada pengorbitan lainnya selain matahari. Seperti bulan yang mengorbit bumi. Bahkan saat ini dengan menggunakan dasar dari hukum Kepler ditemukan sebuah benda baru yang mengorbit bumi selain bulan. Benda ini merupakan sebuah asteroid yang berukuran 490 kaki (150 meter) yang dijuluki dengan Asteroid 2014 OL339. Asteroid berada cukup dekat dengan bumi sehingga terlihat seperti satelitnya. Asteroid tersebut memiliki orbit elips. Ia membutuhkan waktu 364,92 hari untuk mengelilingi Matahari. Hampir sama dengan bumi yang memiliki periode 365,25 hari.

Cari Artikel Lainnya